在线测试

 

/10

Time start

Time end


Mathematic Quiz

This assessment is to determine the familiarity of each student with basic concepts taught in Pre-Calculus 10 as well as the foundational concepts learned previously in Math 9. Please answer the questions to the best of your abilities.

The time limit of the assessment is 20 minutes.

Math 9 Foundation Review: Question 1-3
Pre-Calc 10 Questions: Qustion 4-10

1 / 10

4)What is the correct prime factorization of the integer 980?

A. 2*52*72

B. 22*5*7

C. 22*5*72

D. 2*52*7

2 / 10

6) Which of the following systems of linear equations has a solution of (-3, 4)  ?

3 / 10

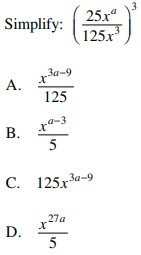
9) Simplify

4 / 10

2) Liz owns a Tesla with a screen that measures 43cm by 64 cm. What is the length of its diagonal?

5 / 10

3) Simplify the following:

(3a2b)2/(ab)2

6 / 10

8)A line with an undefined slope passes through the points (-2, 1)  and (p, q)  . Which of the following points could be (p, q) ?

7 / 10

1) Which graph represents the relation x − 5y +10 = 0 ?

8 / 10

7) Factor: y2 − 81

A.(y-9)2                   B.(y+9)2           C.(y+9)(y-9)            D.(y+3)(y-3)(y+9)

9 / 10

5) A 10 metre tall farmhouse is located 28.0 m away from a tree with an eagle’s nest. The angle of elevation from the roof of the farmhouse to the eagle’s nest is 30°. What is the height of the eagle’s nest?

10 / 10

10)Which of the following relations are also functions?

0%